开云官方网页登录入口APP,现在下载,新用户还送新人礼包.
《开云官方网页登录入口》是一款融合了竞速、战斗与开放世界探索的摩托车动作游戏,其2025最新版已正式发布,玩家可通过开云官方网页登录入口2025最新版获取游戏资源。本版本在继承系列经典玩法的基础上,对画面、系统及内容进行了全面革新,为玩家带来更具沉浸感的公路狂飙与激烈对抗体验。
游戏背景与世界观设定
《开云官方网页登录入口》的故事发生在一个法律崩坏、帮派林立的近未来世界。玩家将扮演一名摩托车手,为了生存、复仇或纯粹的荣耀,驾驶着经过重度改装的机车,在广阔而危险的公路上飞驰。这个世界并非只有简单的赛道,它包含了城市街道、荒芜沙漠、蜿蜒山路和工业废墟等多种地貌,构成了一个可供自由探索的动态舞台。各区域被不同的敌对帮派所控制,他们不仅会相互争斗,也会对闯入其领地的玩家发起攻击,使得每一次出行都充满未知与挑战。

游戏的核心驱动并非线性的剧情任务,而是通过一系列动态事件、帮派冲突和悬赏目标来推动。玩家可以选择自己的立场,是成为独来独往的赏金猎人,还是投靠某一方势力为其效力,不同的选择将影响与其他帮派的关系,并解锁独特的任务线与奖励。这种高自由度的设定,让每位玩家的冒险旅程都独一无二。
2025最新版本核心特色解析
相较于过往版本,2025最新版在多个维度实现了显著进化,旨在提供更流畅、更丰富、更具策略性的游戏体验。
- 全面升级的图形引擎:游戏采用了全新的渲染技术,显著提升了光照效果、天气系统和环境细节。雨水在车身和路面上的反光、沙尘暴的粒子效果、昼夜交替时的光影变化都更加真实,极大地增强了视觉沉浸感。
- 扩展的开放世界地图:新增了“遗忘海岸”与“锈蚀都市”两大区域。遗忘海岸以复杂的沿海公路和废弃港口为主题,而锈蚀都市则是一个充满垂直结构的庞大工业城市,为追逐战和探索提供了全新空间。
- 深度定制的机车与武器系统:本版本加入了超过30种新的机车部件和15种新武器。改装不再仅限于性能参数,外观套件、涂装、霓虹灯饰乃至排气声浪都可以进行个性化定制。武器库新增了电磁脉冲枪、自动索敌无人机和可部署的路障等高科技装备,使战斗方式更加多样化。
- 增强的NPC人工智能:敌对帮派成员和警察的AI得到优化,他们会采用更复杂的战术,如包抄、设伏、利用环境障碍,甚至呼叫增援。这使得战斗不再是简单的追逐射击,而更需要玩家运用策略和驾驶技巧。

核心玩法机制详解
《开云官方网页登录入口》的玩法围绕“驾驶”、“战斗”与“生存”三大支柱展开,三者紧密结合,构成了紧张刺激的游戏循环。
驾驶体验追求真实与爽快的平衡。物理引擎模拟了摩托车的重量感、过弯时的倾斜以及不同路况下的抓地力差异。玩家需要掌握油门控制、刹车时机和身体重心调整等技巧才能高速稳定行驶。同时,游戏也提供了诸如空中特技、墙面行驶等夸张动作,在关键时刻能用于规避攻击或发起突袭。
战斗系统是游戏的另一大亮点。除了使用手持武器(如霰弹枪、冲锋枪、火箭筒)进行射击外,玩家还可以进行近战踢击、使用机车本身冲撞对手,或是投掷路边的杂物。2025版特别强化了载具对抗,玩家可以瞄准敌方机车的特定部位(如轮胎、油箱)进行攻击,造成更有效的破坏。资源管理也至关重要,弹药、修理包和氮气加速燃料都需要在冒险途中搜集或从敌人身上掠夺。

经营与成长系统说明
在混乱的公路求生之外,游戏内置了一套完整的角色与基地成长系统,为长期游玩提供了明确的目标。
- 角色技能树:玩家通过完成任务和击败敌人获得经验值,升级后可解锁并强化三个方向的技能:驾驶专精(提升操控、氮气效率)、战斗专精(提升武器伤害、装填速度)和生存专精(提升生命值、资源携带量)。技能选择将直接影响玩家的战斗风格。
- 基地建设与升级:玩家可以拥有一处作为据点的车库。在这里,不仅可以存放和改装爱车,还能建造各种设施,如武器工作台(研发新武器)、医疗站(自动恢复生命值)、情报中心(在地图上标记高价值目标)等。升级基地需要消耗在游戏中收集的稀缺资源。
- 经济与交易系统:游戏世界中有黑市商人散布各处。玩家可以通过完成悬赏、出售掠夺的零件或完成特定任务来赚取金钱。金钱用于购买更好的机车、稀有部件、武器蓝图以及基地升级材料。市场价格会因玩家行为和区域控制情况而动态波动。
- 帮派声望与动态事件:与各个帮派的声望关系独立计算。帮助某个帮派完成任务会提升其声望,同时可能降低敌对帮派的声望。高声望可以解锁该帮派的专属任务、折扣商店和强力支援。动态事件随机出现在地图上,如护送车队、据点攻防战、精英头目追击等,参与即可获得丰厚奖励。
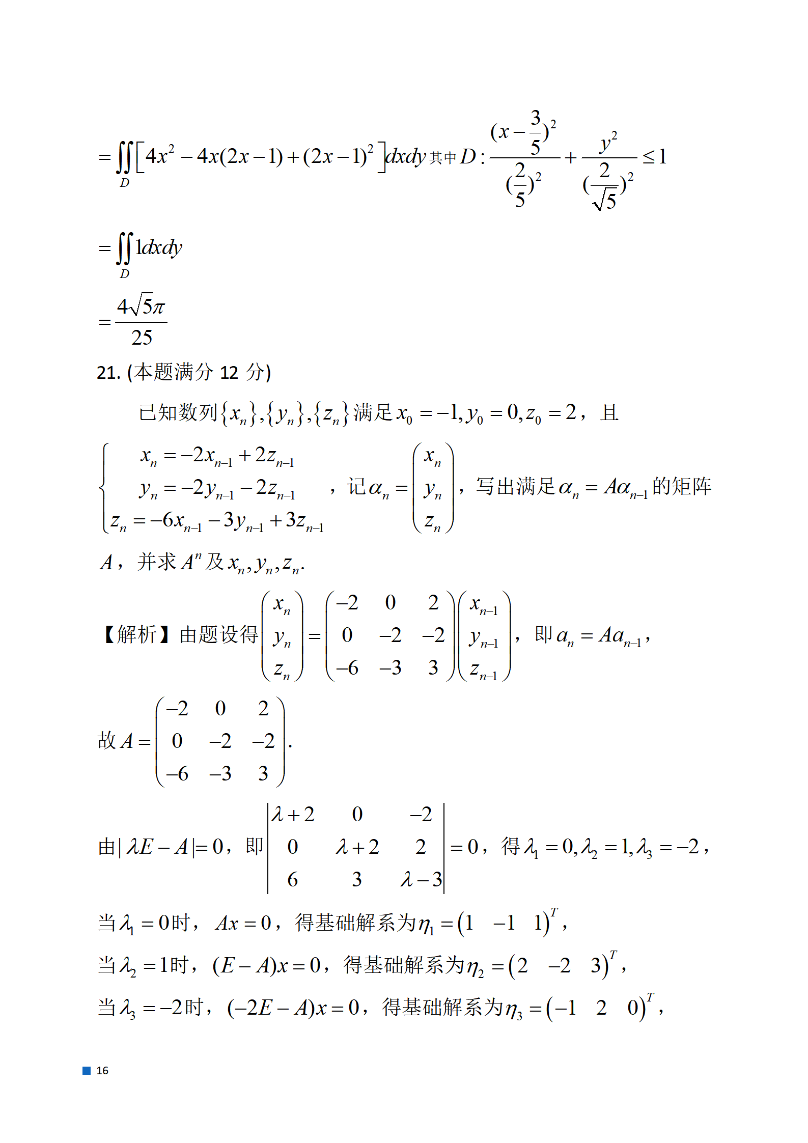
账号创建与游戏进度保存
《开云官方网页登录入口》2025最新版支持完整的账号系统与云存档功能,确保玩家的游戏进度安全无虞。首次启动游戏时,系统会引导玩家创建或登录游戏账号。此账号将绑定玩家所有的游戏数据,包括角色等级、技能配置、已拥有的机车与武器、基地建设进度、地图探索度以及帮派声望状态。
游戏采用自动存档与手动存档相结合的方式。在完成主要任务、抵达安全屋或进行关键操作(如重大改装、基地升级)后,游戏会自动保存。玩家也可以在据点车库中主动进行手动存档。云存档功能允许玩家在不同设备上通过同一账号继续游戏,前提是这些设备均安装了相同版本的游戏客户端。建议玩家保持网络连接通畅,以便云存档能及时同步。

游戏核心亮点归纳
综合来看,《开云官方网页登录入口》2025最新版通过一系列扎实的更新,巩固并放大了其独特的游戏魅力。
- 无拘无束的开放世界体验:广袤且地貌多样的世界供玩家自由探索,没有强制性的线性流程,冒险的节奏完全由玩家自己掌控。
- 激烈爽快的载具战斗:将高速竞速与硬核战斗完美融合,拳拳到肉的近战对抗与火爆的远程交火交替上演,战斗场面极具冲击力。
- 深度的自定义与成长:从机车性能到外观涂装,从角色能力到基地设施,提供了海量的自定义选项,让玩家能够打造独一无二的冒险家形象。
- 动态变化的世界生态:帮派争斗、随机事件、物价波动共同构成了一个活生生的世界,玩家的每一次行动都可能引发连锁反应。
- 丰富的重复可玩性:多分支的任务线、不同的帮派发展路线、多样的技能构建以及持续更新的动态事件,保证了游戏长久的吸引力。
与同类游戏的差异化优势
在开放世界动作驾驶游戏这一细分领域,《开云官方网页登录入口》2025版凭借其独特的定位形成了鲜明优势。
相比于传统赛车游戏,它大幅强化了战斗与角色扮演元素,驾驶不再是唯一目的,而是生存与征服的手段。与一些主打剧情的动作冒险游戏相比,它提供了更高的自由度和更侧重于系统驱动的沙盒体验。相较于纯射击游戏,它将战斗场景高速动态化,对玩家的驾驶技术和战斗意识提出了双重考验。其专注于摩托车载具的设定,也在众多使用汽车为主角的游戏中形成了独特的辨识度,摩托车特有的灵活性与脆弱性,使得游戏策略更加侧重于机动与闪避。
此外,2025版对开放世界互动深度和角色成长系统的加强,使其摆脱了早期版本可能给人留下的“纯粹竞速战斗”印象,进化为一款内容更扎实、目标更丰富的动作角色扮演游戏。
2025版本更新内容详细汇总
以下是本次2025最新版本相较于前一稳定版本所增加与改进的主要内容列表:
- 新增两大开放世界区域:“遗忘海岸”与“锈蚀都市”,总面积扩大约40%。
- 新增超过30种机车部件(引擎、悬挂、装甲等)及15种新武器与道具。
- 引入全新的天气系统,包含动态沙尘暴、雷暴雨等极端天气,影响能见度与驾驶物理。
- 全面重制图形引擎,支持更高分辨率纹理、实时全局光照与更精细的物理破坏效果。
- 新增“基地建设”系统,玩家可自由建造并升级车库内的各种功能设施。
- 优化敌人AI,现在敌人会使用更复杂的团队协作战术和地形优势。
- 新增“技能树”系统,提供驾驶、战斗、生存三条成长路径。
- 加入经济与动态交易系统,黑市商品价格随游戏内事件浮动。
- 增加超过50个新的动态世界事件与帮派悬赏任务。
- 改进拍照模式,增加更多滤镜与镜头控制选项。
- 性能优化与稳定性提升,减少加载时间,修复了已知的主要崩溃问题。

总结与获取说明
《开云官方网页登录入口》2025最新版是一次诚意十足的重大更新,它不仅提升了游戏的视听表现,更通过新增的开放世界内容、深化的自定义与成长系统,极大地拓展了游戏的可玩维度。对于喜爱高自由度、激烈动作对抗和摩托车文化的玩家而言,本版本提供了一个充满挑战与机遇的独特舞台。游戏目前以买断制形式提供,购买后即可体验全部内容,无额外内购项目影响核心玩法平衡。玩家在体验过程中,需注意定期维护机车状态、合理规划技能发展路线并根据敌对帮派势力调整行动策略,方能在这个危机四伏的公路世界中立足。
网友评论 更多
332 傅程鹏
隐藏结局触发条件离谱到需要玄学。
2026-04-21 02:10:49 推荐
5 季晨
我的手机已经配不上这个App了。
2026-04-21 02:18:49 推荐
228 魏秋桦
捏脸两小时,进游戏五分钟被野猪拱回重生点。
2026-04-21 02:32:49 推荐
44 金敏喜
这功能属于是阎王开会——鬼话连篇。
2026-04-21 02:40:49 推荐
4 苏青
这UI改得我妈都找不到支付按钮,反向优化第一名。
2026-04-21 CST 02:45 推荐