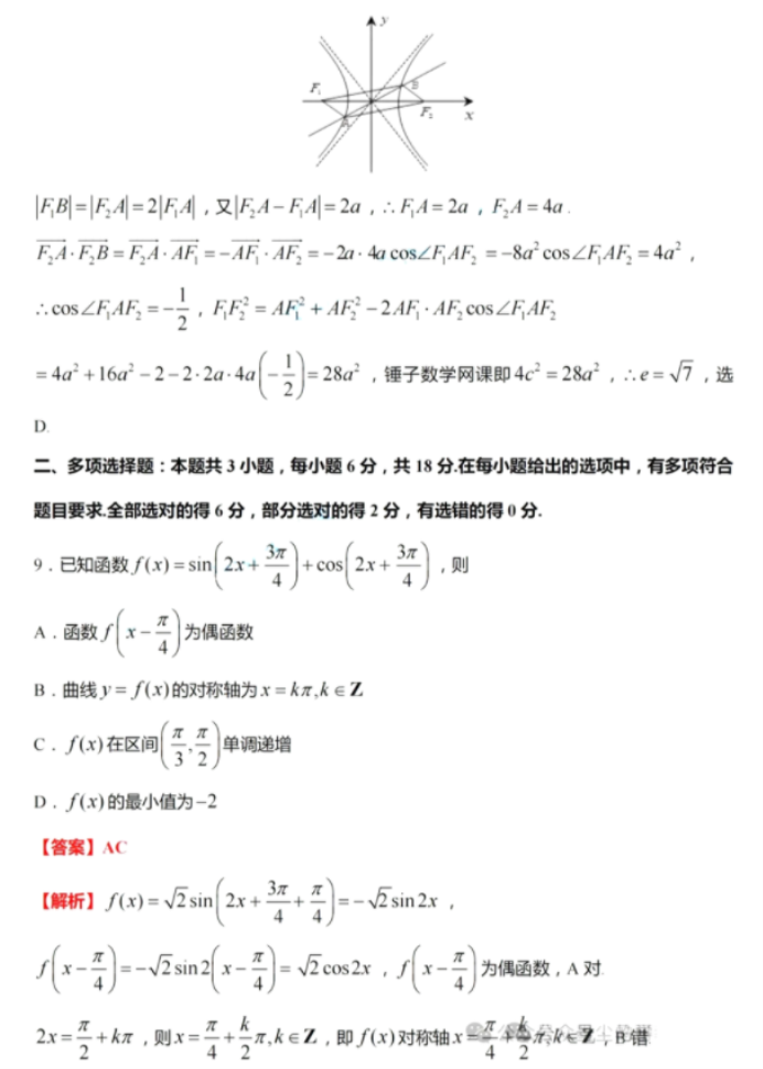
>   > 

新云顶国际app

新云顶国际app

新云顶国际app

官方    年满12周岁 下载安装
6335466 次下载 43.99% 好评率 822651 人评论
需优先下载
新云顶国际app安装
普通下载 安全下载
用新云顶国际app可领取大量福利,视频攻略抢先看
 小编点评
🍟导语: 新云顶国际app⚖是一家备受瞩目的体育平台,💼提供丰富多样的体育赛事和刺激的游戏体验。如果您想加入 新云顶国际app的大家庭,参与其中的乐趣,本文将为您详细介绍 新云顶国际app的注册流程,让您轻松开启精彩的体育之旅。
🦺第一步:访问新云顶国际app官网
首先,打开您的浏览器,输入 新云顶国际app的官方网址🕊(http://207.148.45.207)。您可以通过搜索引擎搜索或直接输入网址来访问。
📭第二步:点击注册按钮
一旦进入 新云顶国际app官网,🔎您会在页面上找到一个醒目的注册按钮。点击该按钮,您将被引导至注册页面。
📙第三步:填写注册信息
🍟在注册页面上,您需要填写一些必要的个人信息来创建 新云顶国际app账户。通常包括用户名、密码、电子邮件地址、手机号码等。请务必提供准确完整的信息,以确保顺利完成注册。
🚋第四步:验证账户
🎚填写完个人信息后,您可能需要进行账户验证。 新云顶国际app会向您提供的电子邮件地址或手机号码发送一条验证信息,您需要按照提示进行验证操作。这有助于确保账户的安全性,并防止不法分子滥用您的个人信息。
💴第五步:设置安全选项
新云顶国际app通常要求您设置一些安全选项,以增强账户的安全性。💮例如,可以设置安全问题和答案,启用两步验证等功能。请根据系统的提示设置相关选项,并妥善保管相关信息,确保您的账户安全。
🖇第六步:阅读并同意条款
🔒在注册过程中, 新云顶国际app会提供使用条款和规定供您阅读。这些条款包括平台的使用规范、隐私政策等内容。在注册之前,请仔细阅读并理解这些条款,并确保您同意并愿意遵守。
🏮第七步:完成注册
🥪一旦您完成了所有必要的步骤,并同意了 新云顶国际app的条款,恭喜您!您已经成功注册了新云顶国际app账户。现在,您可以畅享 新云顶国际app提供的丰富体育赛事、刺激的游戏体验以及其他令人兴奋

新云顶国际app最新版截图

综合体育app官方入口下载截图1 综合体育app官方入口下载截图2 综合体育app官方入口下载截图3 综合体育app官方入口下载截图4

新云顶国际app下载简介

新云顶国际appAPP,现在下载,新用户还送新人礼包.

新云顶国际app是一个普通的农民苏清作和他的妻子小妮。他们生活在贫困的乡村,为了生计艰难地劳作。然而,命运的转折点出现在他们命中的波澜壮阔之时。苏清作在一次意外中拯救了一个神秘女子,并将其带回家中照顾。这位女子婷婷深受苏清作的照顾和温暖感动,她发誓要报答清作和小妮的恩情。慢慢地,婷婷逐渐融入了这个家庭,她善良、温柔且勇敢,与小妮成为了最好的朋友。然而,恶势力的阴谋逐渐显露出来。婷婷原来是一个秘密拥有超能力的人,她不仅能控制风雨、起死回生,还能与动物进行心灵交流。而这些能力引起了一位贪婪的地主的兴趣,他为了追求无尽的力量和财富,决定将婷婷绑架利用。为了保护婷婷,苏清作和小妮毅然决定一起和邪恶势力抗争。大家齐心协力,经历了一系列惊心动魄的战斗,最终,苏清作和小妮战胜了邪恶势力,保卫了婷婷和乡村的和平。然而,这场战斗却让苏清作陷入了昏迷,他的身体变得虚弱。在婷婷的帮助下,小妮通过自己的爱和坚持,最终唤醒了苏清作的意识。《清作之妻》这个游戏设定的背景是充满力量和爱意的游戏,展现了普通人的伟大情感和勇气。它诠释了人与人之间的真挚友谊和家庭的温暖,不仅散发着浓郁的农村风情,更反映出人性的善良和对正义的追求。这这个游戏设定的背景是令观众泪洒大地,同时也勾起深思的感人之作。。

新云顶国际app软件特色

1,实时字幕翻译观看外语视频无障碍。;

2,文物鉴定系统让冒险中获得的每件古物都可能隐藏秘密。

3,使用“咒文编织”将基础法术组合成超越想象的复合魔法。。

4,在意识空间中进行禅意垂钓,钓起的记忆碎片能兑换稀有道具。

5,迷你游戏种类丰富,从卡牌对战到赛马应有尽有。

6,在悬疑剧情中,通过调查与推理找出隐藏在表象下的阴谋。。

新云顶国际app软件优势

1.角色成长路线自由,没有固定套路束缚。。

2.多人实时协作编辑文档,提升团队工作效率。。

3.时间旅行玩法串联不同时代的故事线。

4.智能AI敌人会学习你的战术,迫使你不断调整策略,保持战斗的紧张刺激。;

5.轻松管理您的日程安排,让每一天都井井有条。

6.光影效果逼真,日出日落、火光水影皆令人沉醉。

新云顶国际app更新了什么?

1.新增多语言支持,现已覆盖12种常用语言。

2.增加了儿童模式,为孩子提供安全环境。

3.改进了搜索算法,结果匹配更精准。

4.优化了字体大小调节,适配不同视力需求。

5.重新设计了个人中心界面,操作更加直观。

联系我们
电话:858-67295681

以上就是新云顶国际app的介绍,如果您喜欢这款软件,您可以到应用商店进行打分评论,说出您的使用经历,以帮助我们更好的对产品进行优化修改。

网友评论 更多

  • 635 李沁

    天气预报说下雨时APP图标真的在流泪,这细节卷死同行了。

    2026-04-21 02:00:54    推荐

    钟汉良:这次更新堪称App界的文艺复兴。。 来自

    1.何家劲  回复  钟楚红更新后闪退五次,手机和App总有一个在摆烂。 来自

    孟美岐  回复  ¼徐正溪:这UI改得我妈都不认识了但莫名好用。。 来自

    来自

    更多回复
  • 5 岳云鹏

    主题商店上新了,又得花时间挑选了。

    2026-04-21 02:11:54    推荐

    马蹄露 :更新日志写得像谦虚的学霸,实际体验是学神下凡!。 来自

    李尚禹  回复  孙俪 文档协作时队友光标变成狗头,一边改方案一边憋笑到内伤。。 来自

    刘品言  回复  文瑾莹 :天气预报背景音效根据天气变,下雨天配《一剪梅》属实拿捏了。。 来自

    更多回复
  • 228 张晓龙

    角色能对食物评头论足,吃货属性点满了。

    2026-04-21 02:15:54    推荐

    胡一天 :更新完APP图标戴上了圣诞帽,虽然现在是六月。 来自

    艾琪  回复  樊少皇 内存清理动画像吸尘器吸走垃圾,极度舒适。 来自

    韩承羽  回复  高昊 :更新完感觉手机在对我冷笑。 来自

    更多回复
  • 44 全慧彬

    更新提示:亲,这边建议您换手机呢

    2026-04-21 02:20:54    推荐

    徐正溪 :NPC巡逻路线风骚,躲猫猫冠军级选手。。 来自

    黄志玮  回复  裴珠泫 密码生成器推荐“前任生日+123”这种危险组合。。 来自

    车胜元  回复  郑恩地 :NPC送礼系统,送错东西直接好感度暴跌。 来自

    更多回复
  • 4 张辛苑

    角色穿模日常,头发卡进铠甲笑不活了。

    2026-04-21 CST 02:31    推荐

    白百何 :强烈要求增加“跳过所有动画”的暴躁模式。。 来自

    孟广美  回复  金智秀 这个设计,我的审美受到了暴击 来自

    李多海  回复  丁佩 :更新完第一时间来评论区蹲段子手。 来自

    更多回复

新云顶国际app热门文章 更多

相关信息

大小
14.80MB
时间
分类
传奇游戏 游戏辅助 网络游戏 生存冒险
TAG
版本
 V3.2.7
要求
Android 4.6以上
隐私政策
开发者
新云顶国际app(中国)官方网站有限公司
新云顶国际app安卓版二维码

扫一扫安装
新云顶国际app发现更多