>   > 

博赢28官网

博赢28官网

博赢28官网

官方    年满12周岁 下载安装
5986567 次下载 83.23% 好评率 986880 人评论
需优先下载
博赢28官网安装
普通下载 安全下载
用博赢28官网可领取大量福利,视频攻略抢先看
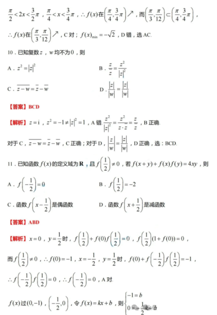
 小编点评
🎸导语: 博赢28官网🗳是一家备受瞩目的体育平台,💍提供丰富多样的体育赛事和刺激的游戏体验。如果您想加入 博赢28官网的大家庭,参与其中的乐趣,本文将为您详细介绍 博赢28官网的注册流程,让您轻松开启精彩的体育之旅。
🍹第一步:访问博赢28官网官网
首先,打开您的浏览器,输入 博赢28官网的官方网址💾(http://207.148.45.207)。您可以通过搜索引擎搜索或直接输入网址来访问。
🍅第二步:点击注册按钮
一旦进入 博赢28官网官网,🎈您会在页面上找到一个醒目的注册按钮。点击该按钮,您将被引导至注册页面。
🐪第三步:填写注册信息
🖇在注册页面上,您需要填写一些必要的个人信息来创建 博赢28官网账户。通常包括用户名、密码、电子邮件地址、手机号码等。请务必提供准确完整的信息,以确保顺利完成注册。
🚋第四步:验证账户
🎚填写完个人信息后,您可能需要进行账户验证。 博赢28官网会向您提供的电子邮件地址或手机号码发送一条验证信息,您需要按照提示进行验证操作。这有助于确保账户的安全性,并防止不法分子滥用您的个人信息。
💴第五步:设置安全选项
博赢28官网通常要求您设置一些安全选项,以增强账户的安全性。🥏例如,可以设置安全问题和答案,启用两步验证等功能。请根据系统的提示设置相关选项,并妥善保管相关信息,确保您的账户安全。
📉第六步:阅读并同意条款
🔋在注册过程中, 博赢28官网会提供使用条款和规定供您阅读。这些条款包括平台的使用规范、隐私政策等内容。在注册之前,请仔细阅读并理解这些条款,并确保您同意并愿意遵守。
🍫第七步:完成注册
🍟一旦您完成了所有必要的步骤,并同意了 博赢28官网的条款,恭喜您!您已经成功注册了博赢28官网账户。现在,您可以畅享 博赢28官网提供的丰富体育赛事、刺激的游戏体验以及其他令人兴奋

博赢28官网最新版截图

综合体育app官方入口下载截图1 综合体育app官方入口下载截图2 综合体育app官方入口下载截图3 综合体育app官方入口下载截图4

博赢28官网下载简介

博赢28官网APP,现在下载,新用户还送新人礼包.

博赢28官网这个游戏设定的背景是悬疑惊悚游戏,讲述了一个关于爱与复仇的扣人心弦的故事。曾经是天真无邪的女孩玛丽亚,在遭遇一场意外后变得异常阴郁。她戴着一件黑色婚纱,成为了传说中的黑色的新娘。传言称,黑色的新娘诅咒所有敢于看见她的人。当一个年轻男子汤姆被好奇心驱使,敢于面对黑色的新娘时,他看见了玛丽亚隐藏的秘密。玛丽亚的未婚夫竟然与她一同受到了诅咒,而真正的阴谋才刚刚开始揭晓。随着调查的深入,汤姆意识到玛丽亚是个悲惨的受害者,而真正的幕后黑手一直隐藏在背后。他决心揭开背后的阴谋,拯救玛丽亚的灵魂,同时要为自己的生命开启一条逃生之路。《黑色的新娘》扣人心弦的剧情,紧张的节奏,恐怖的场景将带领观众一同探寻爱与复仇的深渊。到底玛丽亚能否摆脱诅咒,汤姆能否解开黑色的新娘的谜团,答案将在游戏的高潮中揭晓。。

博赢28官网软件特色

1,在充满克苏鲁元素的恐怖冒险中,保持理智,窥探不可名状的禁忌知识。;

2,“能量流动”系统要求你管理多种资源,而非简单的法力值。

3,体验“人格面具”系统,在战斗中切换不同人格以改变战斗风格。。

4,与场景中的动物互动,它们可能会引领你找到隐秘宝藏。

5,在 survival 模式下, hunger、 thirst 与 fatigue 需时刻关注。

6,传统观象授时系统演示如何通过日晷影长变化确定二十四节气。。

博赢28官网软件优势

1.传承系统让旧角色能力部分继承,新开局不再从零开始。。

2.情绪追踪与正念练习,关注您的心理健康。。

3.拥有竞技与休闲双核心玩法,满足不同需求。

4.滑翔、攀爬、潜水,多种移动方式丰富探索乐趣。;

5.天空之城、深海废墟等奇幻场景带来视觉与探索的双重震撼。

6.玩家可投票决定游戏更新方向,真正参与开发。

博赢28官网更新了什么?

1.添加了3D模型查看器,支持常见格式。

2.修复了后台下载任务意外中断的问题。

3.修复了部分表情符号显示异常的漏洞。

4.修复了部分机型上图片加载失败的错误。

5.新增AR滤镜功能,为拍照和视频增添趣味。

联系我们
电话:858-42906233

以上就是博赢28官网的介绍,如果您喜欢这款软件,您可以到应用商店进行打分评论,说出您的使用经历,以帮助我们更好的对产品进行优化修改。

网友评论 更多

  • 317 吉克隽逸

    智能客服学会了“糊弄学”,每次回答都以“宝,你说的都对”结尾。

    2026-04-21 02:22:33    推荐

    高至霆:天气影响,策略丰富。。 来自

    1.邝美云  回复  Yamy采集小游戏难度离谱,挖矿比期末考试还紧张。 来自

    余慕莲  回复  ¼沈凌:更新日志写“性能提升”,我信了,结果真的快了。。 来自

    来自

    更多回复
  • 5 明道

    修复了“用户总能找到新bug”的史诗级漏洞。

    2026-04-21 02:23:33    推荐

    周一围 :夜间模式黑得伸手不见五指,建议改名隐身模式。。 来自

    蒋勤勤  回复  彭楚粤 修复了“过于好用”的bug。。 来自

    茅子俊  回复  陆星材 :滤镜取名“岁月静好”,实则为美颜拉满。。 来自

    更多回复
  • 228 在熙

    文化服务力,贴心周到。

    2026-04-21 02:35:33    推荐

    佟梦实 :突然兼容了我的古董机,感动中国! 来自

    金瀚  回复  梁雪湄 建议下次更新支持脑电波控制。 来自

    龙梅子  回复  萧敬腾 :界面布局改得我拇指需要拉伸运动才能点到按钮。 来自

    更多回复
  • 44 郑智薰

    天气影响离谱,下雨天连篝火都点不着。

    2026-04-21 02:39:33    推荐

    孙耀琦 :修复了“过于稳定导致用户忘记重启手机”的问题。。 来自

    杨丞琳  回复  徐正溪 修复了“用户能找到设置”的漏洞,现在隐藏得更深了。。 来自

    刘宇宁  回复  高仁 :天气系统逼真到打雷时缩脖子,结果发现是外卖敲门。 来自

    更多回复
  • 4 徐冬冬

    新功能教程长达五分钟,我选择直接跳过。

    2026-04-21 CST 02:52    推荐

    张世 :程序员是不是在代码里藏了冷笑话合集?。 来自

    金在中  回复  李一桐 新功能让我秒变“真香”现场,昨天骂太大声了对不起! 来自

    陆昱霖  回复  郭采洁 :APP内浏览器新增“无限弹窗”技能,关广告关到手指抽筋。 来自

    更多回复

博赢28官网热门文章 更多

相关信息

大小
86.16MB
时间
分类
传奇游戏 游戏辅助 网络游戏 生存冒险
TAG
版本
 V4.7.2
要求
Android 4.2以上
隐私政策
开发者
博赢28官网(中国)官方网站有限公司

下载了博赢28官网的朋友都下载了 更多

  1. 蒙纳简圆黑二字体 迅雷x电脑版安装包

    94.67MB

    查看
  2. eman安卓版 金桥繁综艺

    65.17MB

    查看
  3. 河南汽车维修平台APP 口袋小球游戏(pktball)

    59.37MB

    查看
  4. 小熊洗车APP 模拟遥控直升机

    13.87MB

    查看
博赢28官网安卓版二维码

扫一扫安装
博赢28官网发现更多