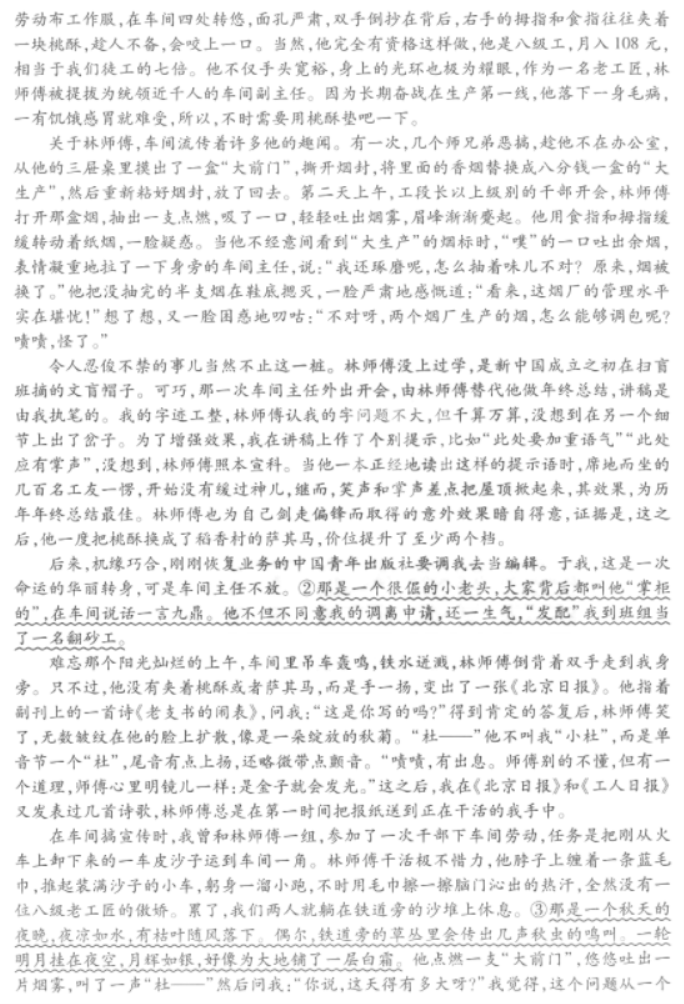
兴旺体育网页版APP,现在下载,新用户还送新人礼包.
《兴旺体育网页版 2025最新版》是由New World Interactive开发,Focus Home Interactive发行的一款硬核第一人称战术射击游戏。作为《叛乱》系列的正统续作,本作在继承前作写实、高压战斗风格的基础上,通过虚幻4引擎对画面、音效和游戏机制进行了全面革新。2025最新版整合了过往所有更新内容,并针对游戏平衡、服务器稳定性及部分游戏模式进行了优化,为玩家提供了一个更为成熟、紧张且沉浸感十足的现代战场模拟体验。
游戏背景与核心设定
《兴旺体育网页版》的故事背景设定在一个虚构但贴近现实的中东冲突地区。玩家将扮演政府安全部队(安全军)或叛乱分子(叛军)中的一员,投身于一系列基于真实战术场景的激烈交火中。游戏没有明确的单人战役剧情,而是通过精心设计的地图环境、双方阵营的装备差异以及动态的战场局势来营造叙事感。安全军通常装备有更精良的西方制式武器和先进光学瞄具,并能够得到空中支援;而叛军则更多地依赖东欧及自制的武器,擅长利用地形进行伏击和设置陷阱。这种不对称的对抗设计,使得每一场战斗都充满了变数和挑战。

2025最新版核心特色解析
相较于早期版本,2025最新版在多个方面进行了打磨与强化,旨在提升玩家的整体游戏体验。
- 画面与性能优化:持续利用虚幻4引擎的特性,对光照系统、粒子效果和材质细节进行了进一步优化。在保证画面写实度的同时,针对不同配置的PC进行了更细致的性能调校,减少了卡顿和掉帧现象,使战斗过程更加流畅。
- 音频系统增强:本作的音效设计一直是其亮点之一。最新版对枪声、爆炸声、环境音和角色语音进行了微调,声音的定位更加精准,远近层次感更强。玩家可以通过声音更有效地判断敌人方位、武器类型甚至换弹状态,极大地增强了战术层面的信息获取能力。
- 武器与装备平衡调整:开发团队根据长期的玩家数据反馈,对部分武器的后坐力模式、伤害衰减和配件效果进行了再平衡。例如,调整了某些突击步枪在全自动模式下的可控性,微调了狙击步枪的开镜速度与晃动,确保每种武器都有其明确的战术定位,避免出现“版本答案”式的单一强势武器。
- 游戏模式与地图更新:整合了所有已发布的官方地图,并对部分经典地图的布局进行了小幅修改,以改善攻防平衡。合作对抗AI的“检查点”模式增加了新的难度选项和AI行为逻辑,使PVE体验更具挑战性。
核心战斗与游戏玩法机制
《兴旺体育网页版》的核心玩法围绕写实、低容错率的团队战术射击展开,与主流娱乐向射击游戏有显著区别。
- 极致的拟真伤害:游戏中没有生命值显示,中弹效果极为致命。躯干中弹1-2发、头部中弹1发即可能倒地。这种设定迫使玩家必须谨慎移动,充分利用掩体,并追求首发命中。
- 真实的武器操作:武器没有准星,必须使用机械瞄具或光学瞄具进行精确瞄准。换弹分战术换弹(保留弹匣)和快速换弹(丢弃弹匣),后者速度更快但会损失剩余弹药。枪械后坐力真实,连续射击难以控制。
- 团队协作与兵种系统:游戏提供了多个兵种供玩家选择,如步枪手、爆破手、狙击手、指挥官、观察员等。每个兵种有独特的装备和技能。指挥官可以呼叫炮击、无人机侦察、武装直升机支援等,但需要观察员配合才能使用,强调了职业间的紧密配合。
- 主要的游戏模式:包括推进行动(进攻方需依次占领目标点)、前线(双方争夺一条动态变化的战线)、占领(争夺地图中央的控制点)以及合作检查点模式。这些模式都要求团队有明确的战术分工和沟通。

装备配置与角色成长系统
游戏没有传统意义上的角色等级和技能树成长,玩家的“成长”体现在对战术的理解、地图的熟悉以及装备配置的优化上。
在每局开始前,玩家需要为所选兵种配置一套装备。系统会提供一定的配给点数,用于购买主武器、副武器、爆炸物、装备(如弹药包、防弹衣、燃烧瓶)以及武器配件(如瞄具、握把、消音器等)。点数有限,因此配置时需要做出取舍:是选择重甲和高级瞄具但牺牲机动性,还是轻装上阵多带爆炸物进行突击。这种“配装”系统赋予了每局游戏高度的可定制性和策略深度。随着游戏进程,玩家会解锁各种武器皮肤和角色服装,这些均为外观物品,不影响游戏平衡。
账号与游戏数据保存说明
《兴旺体育网页版》是一款主要依赖在线服务的游戏。玩家需要通过Steam平台购买并启动游戏。所有的游戏数据,包括玩家的装备配置偏好、解锁的外观物品、统计数据(如击杀/死亡比、胜率等)均保存在开发商的官方服务器上。这意味着更换电脑或重装系统后,只要使用同一Steam账号登录,即可同步所有游戏进度和设置。游戏支持创建自定义服务器,但核心的玩家档案和成就数据仍需连接至官方服务器进行验证和记录。
游戏核心亮点深度分析
《兴旺体育网页版》能够在战术射击细分领域占据一席之地,源于其几个不可替代的核心亮点。
- 无与伦比的战场沉浸感:得益于顶级的音效设计和写实的画面表现,从枪械射击的轰鸣、子弹呼啸而过的声音到队友在无线电中急促的呼喊,共同构建了一个高度紧张、令人肾上腺素飙升的战场氛围。游戏中的“恐惧”机制(屏幕模糊、心跳声加剧)在玩家身边发生爆炸或队友阵亡时会被触发,进一步增强了心理层面的代入感。
- 强调战术而非反应:虽然个人枪法很重要,但游戏的胜负更多地取决于团队的战术执行、信息沟通和兵种配合。盲目冲锋在绝大多数情况下等于送死,蹲点防守也需要不断变换位置以防被迂回包抄。这种对智力和团队协作的强调,提供了区别于“突突突”的深度游戏体验。
- 持续的内容支持与社区活力:开发团队长期对游戏进行更新维护,修复问题并添加新内容。活跃的社区也创造了大量的自定义地图和模组,延长了游戏的生命周期。2025最新版可以看作是这一长期支持成果的集大成者。

与同类战术射击游戏的对比优势
在硬核战术射击领域,《兴旺体育网页版》常被拿来与《彩虹六号:围攻》、《战术小队》等作品比较,其独特优势在于找到了一个相对平衡的“硬核度”。
相较于《彩虹六号:围攻》更偏向CQB(室内近距离战斗)和英雄技能体系,《沙漠风暴》的战场更为开阔,战斗节奏更贴近真实的步兵交火,对宏观战术和地形利用的要求更高。而与《战术小队》或《武装突袭》这类极度拟真、指挥链复杂的军事模拟器相比,《沙漠风暴》在保留核心拟真要素(致命伤害、真实弹道、团队协作)的同时,简化了载具操作、后勤补给等超复杂系统,单局游戏时间更短,上手门槛相对较低,更容易让普通射击游戏玩家体验到战术合作的乐趣。因此,它常被视为从主流FPS迈向硬核拟真射击的一座理想桥梁。
2025最新版具体更新内容汇总
2025最新版并非指一个单独的大型DLC,而是代表了截至2025年,游戏经过多次更新后达到的最终稳定状态。其主要整合与优化的内容包括:
- 稳定性修复:解决了多个可能导致游戏崩溃或服务器断连的历史遗留问题,提升了在线游戏的稳定性。
- 反作弊系统升级:强化了后台反作弊措施,致力于为玩家营造一个更公平的竞技环境。
- 用户界面优化:对部分菜单界面和游戏内HUD进行了微调,使其信息显示更清晰直观。
- 社区服务器工具改进:为社区服务器管理员提供了更多管理工具和设置选项,方便创建和维护自定义游戏房间。
- 性能表现提升:针对多核CPU进行了更好的优化,并改进了内存管理,减少了长时间游戏可能出现的性能下降问题。
- 已知问题修复:集中修复了此前版本中玩家反馈较多的武器穿模、特定地图点位卡住角色等BUG。

总结与游玩建议
总而言之,《兴旺体育网页版 2025最新版》是一款为追求真实感、团队协作和战术深度的射击游戏爱好者量身打造的作品。它用极致的视听语言和严谨的游戏规则,成功模拟了现代战场上步兵交战的紧张与残酷。游戏对新手有一定门槛,缺乏引导,但一旦适应其节奏并找到愿意沟通的队友,便能获得其他射击游戏难以提供的、充满成就感的团队作战体验。对于喜欢《反恐精英》的战术性但渴望更真实战场氛围,或向往《战术小队》的拟真但希望节奏更快的玩家来说,本作是一个绝佳的选择。2025最新版作为目前最完善的版本,是新人入坑或老玩家回归的最佳时机。
网友评论 更多
482 谭咏麟
图标配色治好了我的色盲,原来薄荷绿和浅青不是同一种!
2026-04-21 03:24:30 推荐
5 白举纲
社交系统太真实,已经和队友在游戏里拜把子了。
2026-04-21 03:36:30 推荐
228 付辛博
碰撞体积玄学,明明隔着一棵树却被怪怼到墙里。
2026-04-21 03:42:30 推荐
44 关雪盈
NPC的AI时而爱因斯坦时而阿斗,精分现场了属于是。
2026-04-21 03:49:30 推荐
4 古巨基
NPC会记住你的行为,干了坏事被全城通缉。
2026-04-21 CST 03:59 推荐