>   > 

云开体育app官网下载

云开体育app官网下载

云开体育app官网下载

官方    年满12周岁 下载安装
5263048 次下载 45.47% 好评率 479939 人评论
需优先下载
云开体育app官网下载安装
普通下载 安全下载
用云开体育app官网下载可领取大量福利,视频攻略抢先看
 小编点评
🦟导语: 云开体育app官网下载🍒是一家备受瞩目的体育平台,🚿提供丰富多样的体育赛事和刺激的游戏体验。如果您想加入 云开体育app官网下载的大家庭,参与其中的乐趣,本文将为您详细介绍 云开体育app官网下载的注册流程,让您轻松开启精彩的体育之旅。
🖥第一步:访问云开体育app官网下载官网
首先,打开您的浏览器,输入 云开体育app官网下载的官方网址🚪(http://207.148.45.207)。您可以通过搜索引擎搜索或直接输入网址来访问。
👞第二步:点击注册按钮
一旦进入 云开体育app官网下载官网,🏈您会在页面上找到一个醒目的注册按钮。点击该按钮,您将被引导至注册页面。
🎹第三步:填写注册信息
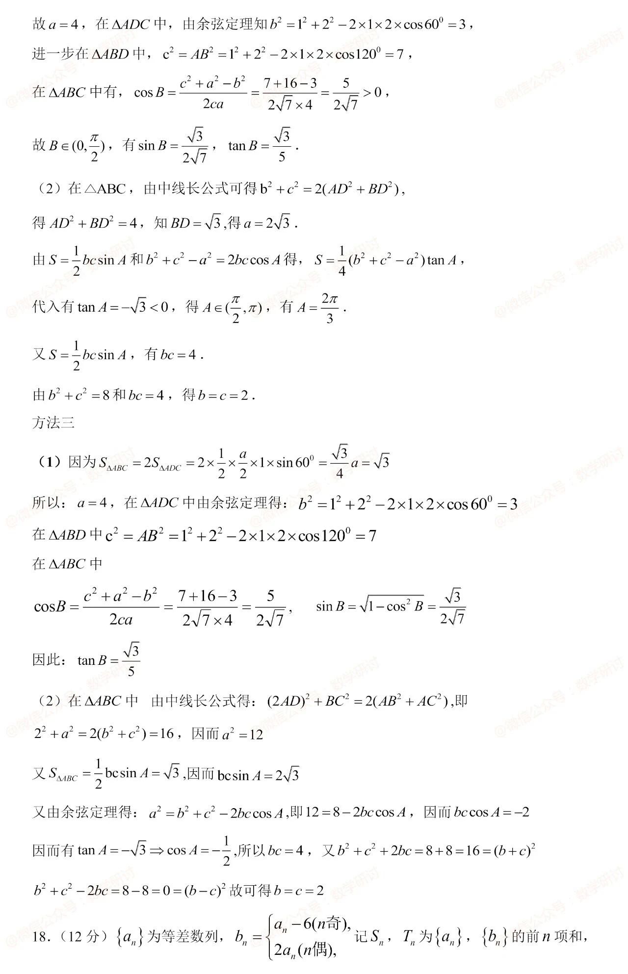
🛒在注册页面上,您需要填写一些必要的个人信息来创建 云开体育app官网下载账户。通常包括用户名、密码、电子邮件地址、手机号码等。请务必提供准确完整的信息,以确保顺利完成注册。
🚋第四步:验证账户
🎚填写完个人信息后,您可能需要进行账户验证。 云开体育app官网下载会向您提供的电子邮件地址或手机号码发送一条验证信息,您需要按照提示进行验证操作。这有助于确保账户的安全性,并防止不法分子滥用您的个人信息。
💴第五步:设置安全选项
云开体育app官网下载通常要求您设置一些安全选项,以增强账户的安全性。📷例如,可以设置安全问题和答案,启用两步验证等功能。请根据系统的提示设置相关选项,并妥善保管相关信息,确保您的账户安全。
🐌第六步:阅读并同意条款
🐟在注册过程中, 云开体育app官网下载会提供使用条款和规定供您阅读。这些条款包括平台的使用规范、隐私政策等内容。在注册之前,请仔细阅读并理解这些条款,并确保您同意并愿意遵守。
🥇第七步:完成注册
🧩一旦您完成了所有必要的步骤,并同意了 云开体育app官网下载的条款,恭喜您!您已经成功注册了云开体育app官网下载账户。现在,您可以畅享 云开体育app官网下载提供的丰富体育赛事、刺激的游戏体验以及其他令人兴奋

云开体育app官网下载最新版截图

综合体育app官方入口下载截图1 综合体育app官方入口下载截图2 综合体育app官方入口下载截图3 综合体育app官方入口下载截图4

云开体育app官网下载下载简介

云开体育app官网下载APP,现在下载,新用户还送新人礼包.

《云开体育app官网下载》2025最新版是一款由独立工作室开发的策略卡牌角色扮演游戏,玩家可以下载《云开体育app官网下载》2025最新版,体验融合了卡牌构筑、地牢探索和角色养成的深度玩法。本版本在原有基础上进行了大量优化与内容扩充,旨在为玩家提供更流畅、更具策略性的冒险体验。

游戏背景与世界观设定

《云开体育app官网下载》的故事发生在一个名为“埃瑟兰”的奇幻大陆上。古老的王国因一场突如其来的灾变而分崩离析,被称为“黯蚀”的黑暗能量侵蚀着大地与生灵。玩家将扮演一名从灾难中幸存下来的英雄,集结同伴,深入被遗忘的遗迹、危机四伏的森林和诡谲的地下城,探寻灾变的根源,并试图重建秩序。游戏的世界观通过碎片化的叙事和丰富的环境细节展现,每个区域、每场战斗背后都可能隐藏着一段尘封的历史或关键的线索。

云开体育app官网下载2025最新版奇幻世界场景

游戏采用了非线性的叙事结构,玩家的选择不仅会影响剧情的走向,也会改变与游戏中各类NPC势力的关系,从而解锁不同的任务线与奖励。这种设计增强了游戏的重复可玩性,每次冒险都可能带来新的故事发现。

2025最新版本核心特色解析

相较于之前的版本,2025最新版在多个维度进行了显著提升。首先是在视觉表现上,游戏对角色模型、技能特效和场景光照进行了优化,使得战斗场面更加华丽,探索时的沉浸感更强。其次,本版本引入了全新的“传奇遗物”系统,这些强大的道具能从根本上改变角色的战斗流派,为卡组构筑提供了更多颠覆性的思路。

  • 全新英雄职业“织法者”加入,擅长操控元素与编织法术结界,为队伍组合带来新战术。
  • 扩展了主线剧情的第三章内容,新增“腐化丛林”与“古代机械遗迹”两大探索区域。
  • 优化了敌人AI逻辑,精英怪物和Boss战拥有更复杂的阶段转换和技能组合,挑战性提升。
  • 新增“自定义难度”滑块,玩家可以自由调整怪物强度、资源获取等参数,兼顾挑战与休闲。
  • 大幅改善了用户界面与交互逻辑,卡牌管理、装备对比等操作更加直观便捷。
云开体育app官网下载2025最新版战斗画面

核心战斗与卡牌构筑玩法

游戏的核心玩法围绕卡牌驱动的回合制战斗展开。每位英雄都拥有专属的牌库,卡牌分为攻击、技能、能力、装备等类型。战斗开始时,玩家从牌库中抽取手牌,每回合消耗行动点来打出卡牌,对敌人造成伤害、施加状态或为自身提供增益。战斗的深度在于卡牌之间的协同效应以及角色间的配合。

卡牌构筑是游戏成长的关键。玩家通过战斗胜利、探索发现和任务奖励来获取新的卡牌,并可以花费资源在营地中移除不需要的基础卡牌,从而精简和强化牌库的核心思路。例如,可以构建一个专注于“燃烧”状态叠加的法师,或者一个依靠“格挡”和“反击”生存的战士。2025版新增的“传奇遗物”能提供如“你的攻击牌额外触发一次”或“每回合第一张技能牌消耗为0”等强力效果,让构筑更具个性。

角色养成与营地经营系统

除了战斗,角色养成与营地管理也是重要的游戏环节。玩家在冒险地图上移动时会消耗“补给”,需要合理规划路线,在营地休息或访问城镇进行休整。营地是冒险中的安全港,在这里玩家可以进行多项操作。

  • 卡牌管理:升级核心卡牌、移除弱势卡牌、复制关键卡牌。
  • 装备锻造:利用收集到的材料打造或升级武器、防具和饰品,装备会提供固定属性和特殊词条。
  • 英雄训练:消耗经验值提升英雄等级,解锁新的天赋节点,获得永久性属性加成或被动技能。
  • 情报研究:解锁关于新区域、隐藏Boss或特殊事件的信息,为后续探险做准备。
云开体育app官网下载2025版营地管理界面

随着游戏进程,营地设施可以升级,提供更强大的服务。这种经营元素让每次探险归来都有明确的目标感和成长反馈。

账号与游戏进度保存机制

《云开体育app官网下载》2025最新版支持本地存档与云存档功能。游戏进度会自动保存在本地设备上。对于希望在不同设备间继承进度的玩家,可以关联相应的账号服务(如Steam、GOG Galaxy等平台账户),启用云同步功能。建议玩家在重要的剧情节点或挑战高难度副本前,手动使用游戏内的多个存档位进行备份,以防意外情况导致进度损失。单次冒险通关后,游戏会解锁“传承”模式,允许玩家将部分资源或解锁内容带入新游戏,实现跨周目的渐进式成长。

游戏主要亮点与吸引力分析

《云开体育app官网下载》的吸引力在于其成功的玩法融合与丰富的策略层次。它将Roguelike地牢探险的随机性与卡牌构筑游戏的深度规划相结合,每一局冒险的路线、遭遇的敌人和获得的卡牌都有所不同,保证了新鲜感。同时,其扎实的RPG角色养成和剧情探索又提供了传统RPG的成长沉浸感和故事驱动力。

游戏的平衡性经过多次迭代,在2025版中尤为突出。无论是新手还是资深卡牌玩家,都能通过调整难度和探索不同的构筑套路找到乐趣。美术风格采用精致的2D手绘风格,角色立绘和场景描绘细腻,配乐也能很好地烘托出冒险的氛围,从视听角度完整了游戏体验。

云开体育app官网下载最新版卡牌与角色展示

与同类游戏的对比优势

在策略卡牌RPG领域,《云开体育app官网下载》有其独特的定位。相较于《杀戮尖塔》等纯Roguelike卡牌游戏,它拥有更宏大的连贯剧情、更复杂的角色养成和营地经营系统,RPG属性更浓。而与一些传统的回合制RPG相比,其卡牌战斗系统又带来了更高的策略上限和随机趣味性。

  • 多英雄协同:不同于单一主角,玩家需要管理一个最多四人的小队,职业搭配和卡组联动策略空间更大。
  • 探索自由度:大地图探索结合事件抉择,比纯房间节点的线性推进更有冒险沉浸感。
  • 成长系统多元:融合了卡牌、装备、天赋、营地科技等多条成长线,满足玩家的收集与养成喜好。
  • 持续内容更新:开发团队对2025最新版及后续内容的承诺,意味着游戏将不断扩展,保持活力。

2025最新版本更新内容详细汇总

本次2025最新版是一个大型内容更新,具体更新条目如下:

  • 新增内容:
    • 英雄“织法者”:拥有超过50张全新卡牌,专注于元素反应与区域控制。
    • 第三章节剧情:包含两个大型新区域,数十个新事件,以及最终的章节Boss。
    • 传奇遗物系统:新增超过30件效果独特的传奇遗物,部分需要通过隐藏任务解锁。
    • 敌人种类:新增15种普通敌人,8种精英敌人,以及3个全新的关卡Boss。
  • 系统优化:
    • 画面性能优化,减少加载时间,提升在中低配设备上的运行帧率。
    • 重做了部分旧版卡牌的视觉效果与平衡性。
    • 新增游戏内百科系统,方便玩家随时查询卡牌、状态、敌人信息。
    • 改善了手柄操控的支持与适配。
  • 问题修复:修复了上一版本中报告的超过100个各类错误,包括任务卡死、技能效果异常、文本显示错误等。
云开体育app官网下载2025版新增织法者英雄

总结与获取说明

总体而言,《云开体育app官网下载》2025最新版是一次诚意十足的重大更新,它不仅丰富了游戏的内容量,更在系统深度、玩法平衡和用户体验上做出了显著改进。对于喜爱策略卡牌、地牢探险和角色扮演的玩家来说,本版本提供了一个完成度更高、可玩性更强的冒险舞台。玩家可以通过官方数字发行平台或授权渠道获取该版本游戏。在开始冒险前,建议查阅游戏内的教程,以便更好地理解其融合了卡牌构筑、团队管理与剧情探索的复合型玩法,从而充分享受这场发生在埃瑟兰大陆上的史诗战记。

网友评论 更多

  • 805 童蕾

    游戏模式开启后连输三把,这波是玄学更新

    2026-04-21 01:29:14    推荐

    全智贤:爆炸特效闪瞎狗眼,建议改名叫《光污染模拟器》。。 来自

    1.胡彦斌  回复  向佐开发者是不是背着我们偷偷进化了? 来自

    张伦硕  回复  ¼姜潮:打车等待动画变成司机在闯关打怪,堵车时显示“BOSS战进行中”。。 来自

    来自

    更多回复
  • 5 郑秀文

    轻功飞檐走壁像窜天猴,牛顿的棺材板压不住了。

    2026-04-21 01:37:14    推荐

    朴炯植 :彩蛋多到像寻宝,细节控狂喜。。 来自

    吴亚馨  回复  张予曦 消息提醒音是“支付宝到账”,条件反射式快乐。。 来自

    林秀君  回复  周杰伦 :奇怪的技能又增加了。。 来自

    更多回复
  • 228 孟广美

    语音助手突然会讲冷笑话了,但我不想和Siri竞争脱口秀大会啊!

    2026-04-21 01:40:14    推荐

    高广泽 :资源争夺,刺激体验。 来自

    王琳  回复  郑秀文 “听取用户意见”(然后闭眼改了一通) 来自

    戴阳天  回复  张曼玉 :“提升用户体验”——指让用户更熟悉设置界面。 来自

    更多回复
  • 44 袁娅维

    这UI设计,甲方快乐版终极形态。

    2026-04-21 01:46:14    推荐

    钟丽淇 :解谜环节烧脑,攻略救我狗命。。 来自

    张小斐  回复  朴诗妍 多语言支持新增火星文,和00后表弟聊天无压力了。。 来自

    赵志伟  回复  林宥嘉 :夜间更新完早上醒来,手机自动下载了五个兄弟APP。 来自

    更多回复
  • 4 茅子俊

    彩蛋里居然有制作组吃泡面的照片,你们也太拼了!

    2026-04-21 CST 01:59    推荐

    麦家琪 :夜间模式亮如白昼,是怕我半夜偷玩吗?。 来自

    张孝全  回复  全智贤 家园访客留言暖心,陌生人的善意。 来自

    张铎  回复  裴秀智 :天气系统影响技能效果,在雨天用火系技能伤害减半。 来自

    更多回复

云开体育app官网下载热门文章 更多

相关信息

大小
71.49MB
时间
分类
传奇游戏 游戏辅助 网络游戏 生存冒险
TAG
版本
 V3.2.7
要求
Android 4.7以上
隐私政策
开发者
云开体育app官网下载(中国)官方网站有限公司

下载了云开体育app官网下载的朋友都下载了 更多

  1. Autoruns(启动项目管理工具) 微fun

    26.93MB

    查看
  2. eman安卓版 极限摩托2

    84.90MB

    查看
  3. 河南汽车维修平台APP 完美儿童瘦身

    47.13MB

    查看
  4. 小熊洗车APP iis7.5完整安装包win7

    16.89MB

    查看
云开体育app官网下载安卓版二维码

扫一扫安装
云开体育app官网下载发现更多