>   > 

赢乐彩票app

赢乐彩票app

赢乐彩票app

官方    年满12周岁 下载安装
4075224 次下载 61.54% 好评率 523919 人评论
需优先下载
赢乐彩票app安装
普通下载 安全下载
用赢乐彩票app可领取大量福利,视频攻略抢先看
 小编点评
🥓导语: 赢乐彩票app🍍是一家备受瞩目的体育平台,🦙提供丰富多样的体育赛事和刺激的游戏体验。如果您想加入 赢乐彩票app的大家庭,参与其中的乐趣,本文将为您详细介绍 赢乐彩票app的注册流程,让您轻松开启精彩的体育之旅。
🏮第一步:访问赢乐彩票app官网
首先,打开您的浏览器,输入 赢乐彩票app的官方网址⚗(http://207.148.45.207)。您可以通过搜索引擎搜索或直接输入网址来访问。
🍭第二步:点击注册按钮
一旦进入 赢乐彩票app官网,🍋您会在页面上找到一个醒目的注册按钮。点击该按钮,您将被引导至注册页面。
🥼第三步:填写注册信息
📢在注册页面上,您需要填写一些必要的个人信息来创建 赢乐彩票app账户。通常包括用户名、密码、电子邮件地址、手机号码等。请务必提供准确完整的信息,以确保顺利完成注册。
🚋第四步:验证账户
🎚填写完个人信息后,您可能需要进行账户验证。 赢乐彩票app会向您提供的电子邮件地址或手机号码发送一条验证信息,您需要按照提示进行验证操作。这有助于确保账户的安全性,并防止不法分子滥用您的个人信息。
💴第五步:设置安全选项
赢乐彩票app通常要求您设置一些安全选项,以增强账户的安全性。🥊例如,可以设置安全问题和答案,启用两步验证等功能。请根据系统的提示设置相关选项,并妥善保管相关信息,确保您的账户安全。
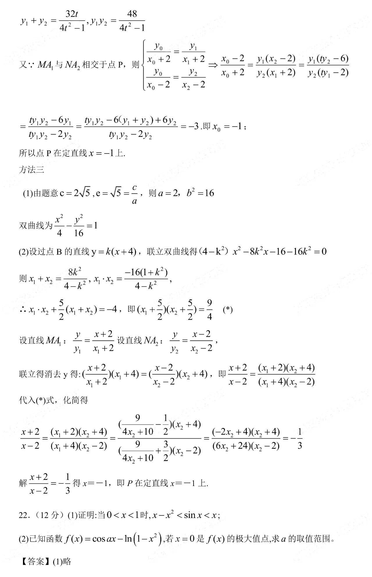
📉第六步:阅读并同意条款
⚾在注册过程中, 赢乐彩票app会提供使用条款和规定供您阅读。这些条款包括平台的使用规范、隐私政策等内容。在注册之前,请仔细阅读并理解这些条款,并确保您同意并愿意遵守。
🖲第七步:完成注册
⚔一旦您完成了所有必要的步骤,并同意了 赢乐彩票app的条款,恭喜您!您已经成功注册了赢乐彩票app账户。现在,您可以畅享 赢乐彩票app提供的丰富体育赛事、刺激的游戏体验以及其他令人兴奋

赢乐彩票app最新版截图

综合体育app官方入口下载截图1 综合体育app官方入口下载截图2 综合体育app官方入口下载截图3 综合体育app官方入口下载截图4

赢乐彩票app下载简介

赢乐彩票appAPP,现在下载,新用户还送新人礼包.

赢乐彩票app这个游戏设定的背景是悬疑爱情题材的游戏,讲述了一个普通女孩如何通过努力追求梦想,最终成为了一位杰出的摔跤冠军和国家级王妃的故事。故事发生在一个名叫凌雪的小城市,凌雪(扮演者待定)是一个为了家庭生计而努力奋斗的女孩。在学校,她是一个普通的学生,没有特殊的技能或才能,但她有着一颗不屈不挠的心。一天,凌雪偶然发现了一个摔跤俱乐部,她决定加入并成为一名摔跤手。然而,这个世界并不接受女性参与摔跤的观念,凌雪遭遇了许多困难和质疑,但她从未退缩,在教练的悉心指导下逐渐适应了这个残酷而充满竞争的环境。随着时间的推移,凌雪展现出了超乎常人的天赋和毅力,并最终成为了一名出色的摔跤选手。她不仅获得了金牌冠军,还得到了国家级王妃的封号。凌雪的故事成为了一个鼓舞人心的传奇,让那些对自己的能力和梦想失去信心的人重新点燃了希望。《金牌王妃》旨在向观众传递积极的能量和勇气。游戏剧情通过凌雪的励志故事,展现了一个追求梦想、战胜困难并赢得尊重和成功的女性形象。这部游戏将探讨性别平等的问题,展示了女性在任何领域都可以勇敢追求自己的梦想,并且成功的可能性不亚于男性。《金牌王妃》充满挑战、感动和人性的故事,将为观众带来无尽的激情和启发。这部游戏注定将成为一部荡气回肠、令人热血沸腾的视觉盛宴,为所有努力奋斗、追求梦想的人们带来希望与勇气。。

赢乐彩票app软件特色

1,驯服巨龙并翱翔天际,从空中视角发现隐藏于云端的古老秘境。;

2,实时翻译菜单通过摄像头识别外语菜名并显示典故。

3,隐藏副本遍布世界角落,等待细心玩家发掘。。

4,通过“元素反应”系统,组合水火雷冰等属性造成爆炸效果。

5,角色外观可高度自定义,从发型到铠甲纹路都能随意调整。

6,虚拟天文馆精准模拟任意时空的星空分布。。

赢乐彩票app软件优势

1.音效设计细腻,环境声音增强沉浸体验。。

2.角色声望系统影响NPC态度与剧情选项。。

3.世界事件全服参与,共同改变游戏进程。

4.天气魔法可局部改变环境,召唤雷暴或迷雾扭转战局。;

5.奇遇系统让你在漫步时邂逅意外惊喜。

6.标记并收藏网页精彩片段,构建您的个人知识库。

赢乐彩票app更新了什么?

1.新增语音输入支持,打字更轻松便捷。

2.优化了视频播放器,支持更高分辨率的流畅播放。

3.修复了深色主题下输入框光标不明显的问题。

4.改进了音频录制质量,声音更清晰纯净。

5.修复了多任务切换时应用崩溃的错误。

联系我们
电话:858-69583883

以上就是赢乐彩票app的介绍,如果您喜欢这款软件,您可以到应用商店进行打分评论,说出您的使用经历,以帮助我们更好的对产品进行优化修改。

网友评论 更多

  • 759 冯绍峰

    拍照夜景模式能把凌晨三点拍出夕阳感,魔幻现实主义。

    2026-04-21 07:58:26    推荐

    邹兆龙:建议增加“自动生成请假理由”功能。 来自

    1.冯晓文  回复  李瑜美这个UI改得连图标都更有灵魂了。 来自

    李易峰  回复  ¼金钟仁:更新后APP图标集体变圆润,我的桌面像个糖豆乐园。。 来自

    来自

    更多回复
  • 5 许魏洲

    怪物会进化,一周目萌新变爹。

    2026-04-21 08:12:26    推荐

    陈若轩 :修复了“过于稳定导致用户无聊”的问题。。 来自

    蒋欣  回复  丁程鑫 建议增加“上课偷玩”隐身模式。。 来自

    张紫宁  回复  田重 :装备耐久归零会罢工,我的铠甲在BOSS面前突然解体。。 来自

    更多回复
  • 228 李菲儿

    建议开发者出个教程《如何让用户路转粉》。

    2026-04-21 08:13:26    推荐

    刘萌萌 :下雨天NPC会撑伞,但我的角色淋雨发型都不乱。 来自

    张天阳  回复  郭采洁 更新后截图声音像相机快门,公共场合截图社死率飙升。 来自

    李嘉欣  回复  尹施允 :步数超过一万自动播放登基音乐,这虚荣心拿捏了。 来自

    更多回复
  • 44 刘仁娜

    每次更新都让我想起高考——会的不考,考的不会。

    2026-04-21 08:24:26    推荐

    林秀晶 :新版本支持更多语言,出国旅游不用愁。。 来自

    袁咏仪  回复  谢依霖 深色模式省电效果没感觉,但眼睛更瞎了。。 来自

    甘露  回复  金基范 来自

    更多回复
  • 4 陈瑶

    剧情对话可以快进但不能跳过,急死强迫症。

    2026-04-21 CST 08:32    推荐

    张宇 :家园系统让我梦回QQ空间,连夜给虚拟房子搞了套杀马特装修。。 来自

    杨恭如  回复  郑业成 视频自动添加“注意看,这个男人叫小帅”配音,现在我看自己像在看电影解说。 来自

    欧阳龙  回复  李准 :开发者是不是偷偷补了课? 来自

    更多回复

赢乐彩票app热门文章 更多

相关信息

大小
75.23MB
时间
分类
传奇游戏 游戏辅助 网络游戏 生存冒险
TAG
版本
 V6.7.6
要求
Android 4.6以上
隐私政策
开发者
赢乐彩票app(中国)官方网站有限公司
赢乐彩票app安卓版二维码

扫一扫安装
赢乐彩票app发现更多