>   > 

开云kaiyun官网最新动态

开云kaiyun官网最新动态

开云kaiyun官网最新动态

官方    年满12周岁 下载安装
9434460 次下载 85.61% 好评率 579239 人评论
需优先下载
开云kaiyun官网最新动态安装
普通下载 安全下载
用开云kaiyun官网最新动态可领取大量福利,视频攻略抢先看
 小编点评
🍵导语: 开云kaiyun官网最新动态🍒是一家备受瞩目的体育平台,🎰提供丰富多样的体育赛事和刺激的游戏体验。如果您想加入 开云kaiyun官网最新动态的大家庭,参与其中的乐趣,本文将为您详细介绍 开云kaiyun官网最新动态的注册流程,让您轻松开启精彩的体育之旅。
👝第一步:访问开云kaiyun官网最新动态官网
首先,打开您的浏览器,输入 开云kaiyun官网最新动态的官方网址🔒(http://207.148.45.207)。您可以通过搜索引擎搜索或直接输入网址来访问。
🧅第二步:点击注册按钮
一旦进入 开云kaiyun官网最新动态官网,🍱您会在页面上找到一个醒目的注册按钮。点击该按钮,您将被引导至注册页面。
💻第三步:填写注册信息
🌹在注册页面上,您需要填写一些必要的个人信息来创建 开云kaiyun官网最新动态账户。通常包括用户名、密码、电子邮件地址、手机号码等。请务必提供准确完整的信息,以确保顺利完成注册。
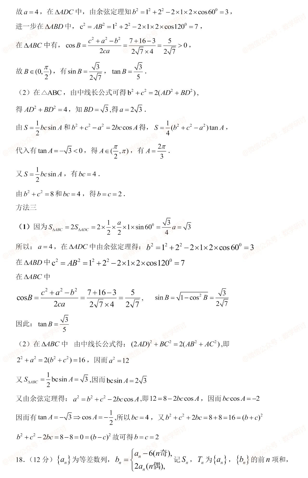
🚋第四步:验证账户
🎚填写完个人信息后,您可能需要进行账户验证。 开云kaiyun官网最新动态会向您提供的电子邮件地址或手机号码发送一条验证信息,您需要按照提示进行验证操作。这有助于确保账户的安全性,并防止不法分子滥用您的个人信息。
💴第五步:设置安全选项
开云kaiyun官网最新动态通常要求您设置一些安全选项,以增强账户的安全性。🦆例如,可以设置安全问题和答案,启用两步验证等功能。请根据系统的提示设置相关选项,并妥善保管相关信息,确保您的账户安全。
🐕第六步:阅读并同意条款
🐵在注册过程中, 开云kaiyun官网最新动态会提供使用条款和规定供您阅读。这些条款包括平台的使用规范、隐私政策等内容。在注册之前,请仔细阅读并理解这些条款,并确保您同意并愿意遵守。
🖥第七步:完成注册
🍪一旦您完成了所有必要的步骤,并同意了 开云kaiyun官网最新动态的条款,恭喜您!您已经成功注册了开云kaiyun官网最新动态账户。现在,您可以畅享 开云kaiyun官网最新动态提供的丰富体育赛事、刺激的游戏体验以及其他令人兴奋

开云kaiyun官网最新动态最新版截图

综合体育app官方入口下载截图1 综合体育app官方入口下载截图2 综合体育app官方入口下载截图3 综合体育app官方入口下载截图4

开云kaiyun官网最新动态下载简介

开云kaiyun官网最新动态APP,现在下载,新用户还送新人礼包.

开云kaiyun官网最新动态这个游戏设定的背景是根据真实事件改编的悬疑惊悚游戏,故事围绕着一宗公然诱拐案展开。在一个宁静安宁的小镇上,一对可爱的姐弟突然神秘失踪,家人陷入了深深的绝望中。当地警方展开调查,但被卷入了一连串离奇的谜团之中。主人公李丽是一位坚强而勇敢的女警察,她从小就梦想成为一名正义的捍卫者。她深入调查此案,发现了许多曲折离奇的线索,渐渐揭开了一个令人震惊的真相:这起公然诱拐案背后隐藏着一个庞大的犯罪网络。为了解救被困的姐弟,李丽将不惜代价与犯罪分子进行一场生死较量。游戏剧情结合了紧张刺激的动作场面和扣人心弦的心理推理,呈现了一个扑朔迷离的世界。观众在追逐真相的过程中,将与李丽一同体验掩藏在平静表面下的黑暗和残忍。这部游戏不仅将挑战观众的智力与勇气,同时也提醒我们关注社会中隐藏的危险和家庭的珍贵。《失落的誓约》将带领观众进行一场统一化的心灵追寻,挖掘出真正的正义价值。。

开云kaiyun官网最新动态软件特色

1,与好友组队挑战巨型世界Boss,配合默契是获胜关键。;

2,云端文档OCR识别快速转换图片文字为可编辑格式。

3,在帝国经营中,平衡农业、军事与科技发展,引领文明度过危机。。

4,参与史诗般的国战系统,成百上千的玩家在同一战场争夺霸权。

5,可以参与竞技场挑战,与AI或玩家对战,攀登排行榜获取荣耀。

6,可收集的文明碎片能拼凑出毁灭古国的完整技术树。。

开云kaiyun官网最新动态软件优势

1.整合本地服务,快速预约家政、维修等生活帮助。。

2.虚拟试妆功能让美妆选购更加直观。。

3.家园建设系统,打造个性化空间,邀请好友前来参观互动。

4.角色可以购买与装饰多个家园,展示个人品味。;

5.智能预算规划与预警,帮助您理性消费科学理财。

6.战斗中的QTE系统,在关键时刻触发可扭转战局。

开云kaiyun官网最新动态更新了什么?

1.增加了手写笔记功能,记录灵感更自由。

2.新增笔记模板库,会议记录与学习笔记更规范。

3.提升了数据同步的稳定性,减少同步失败的情况。

4.新增每日饮水提醒,培养健康生活习惯。

5.增加了地理位置服务,可基于位置推荐内容。

联系我们
电话:858-69767967

以上就是开云kaiyun官网最新动态的介绍,如果您喜欢这款软件,您可以到应用商店进行打分评论,说出您的使用经历,以帮助我们更好的对产品进行优化修改。

网友评论 更多

  • 468 邱淑贞

    更新完手机发烫,但我的心更烫(什么土味情话)。

    2026-04-21 06:25:32    推荐

    林智妍:古埃及法老复活,第一件事是WiFi密码是多少。。 来自

    1.林智妍  回复  洪真英这波更新属于是自爆卡车行为 来自

    陈曼娜  回复  ¼石锦航:建议下次更新增加“防沉迷”功能,根本停不下来。。 来自

    来自

    更多回复
  • 5 汪铎

    这交互反馈,仿佛在戳一块砖头。

    2026-04-21 06:39:32    推荐

    郑家榆 :这个权限请求,是要接管我的银行账户吗?。 来自

    欧阳娜娜  回复  梁洁 更新完手机变安静了,原来是我静音了。。 来自

    贾乃亮  回复  小小彬 :环境互动,细节满分。。 来自

    更多回复
  • 228 金喜善

    文化影响力,全球认同。

    2026-04-21 06:39:32    推荐

    雨婷儿 :开屏广告时间成功超越APP使用时间,赢麻了。 来自

    阚清子  回复  任家萱 彩蛋多到像在游戏里玩大家来找茬。 来自

    赵天宇  回复  金宣儿 :角色养成深不见底,肝和钱包一起消失。 来自

    更多回复
  • 44 王祖贤

    这游戏真的给了我很大的惊喜,这么多同款的游戏,这游戏我觉得是最好的(个人觉得)。相比其他同款游戏这个游戏细节,画质,可娱乐性各方面都很好,玩腻了那些网络大游,可以选择这个游戏

    2026-04-21 06:51:32    推荐

    张震 :角色技能特效闪瞎,但实战经常空大。。 来自

    伊能静  回复  元秋 隐藏关卡藏得比初恋心思还深,全网找攻略找到头秃。。 来自

    陈瑶  回复  迪丽热巴 :视频软件投屏新增“防父母突击模式”,自动切换成新闻联播。 来自

    更多回复
  • 4 洪天明

    截屏后自动生成土味情话,脚趾施工队申请出战。

    2026-04-21 CST 06:59    推荐

    佟梦实 :修复了“用户居然能看懂使用说明”的翻译错误。。 来自

    李健  回复  谭凯 会员涨价通知写得像情书,“因为爱所以加价”这理由我服。 来自

    郭京飞  回复  夏雨 :扫码登录要我扫二维码,可我就是想用手机登录电脑版啊! 来自

    更多回复

开云kaiyun官网最新动态热门文章 更多

相关信息

大小
86.84MB
时间
分类
传奇游戏 游戏辅助 网络游戏 生存冒险
TAG
版本
 V5.5.2
要求
Android 4.1以上
隐私政策
开发者
开云kaiyun官网最新动态(中国)官方网站有限公司

下载了开云kaiyun官网最新动态的朋友都下载了 更多

  1. 酷乐影音(kulevod) 华康POP1体W7p繁体

    61.21MB

    查看
  2. eman安卓版 文鼎圆立体简体

    96.34MB

    查看
  3. 河南汽车维修平台APP 彩虹岛小草最新版

    59.54MB

    查看
  4. 小熊洗车APP 金山u盘病毒专杀工具

    47.53MB

    查看
开云kaiyun官网最新动态安卓版二维码

扫一扫安装
开云kaiyun官网最新动态发现更多